In SOBEK wordt de afvoerfactor μ in de afvoerformule van een brug kunstmatige gemaximaliseerd op 1. Dit gebeurt omwille van de numerieke stabiliteit van de simulatie, maar kan resulteren in een ongewenst en onrealistisch groot verval over de brug.

Gelukkig is er een work-around voor: het is mogelijk om een brug te modelleren in de vorm van een Extra Resistance Node.
Stel nu dat we een brug willen modelleren waarbij mu groter dan 1 kan worden. In SOBEK Utilities, vanaf versie 2.000 hebben we dit mogelijk gemaakt door een knoop van het type Extra Resistance Node te vullen.
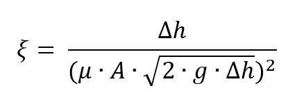
Dit knooptype berekent het hydraulisch verval Δh als lineair met het kwadraat van het debiet:

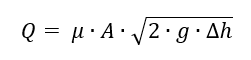
De waarde van de coëfficiënt ξ is in SOBEK op te geven als functie van de waterhoogte. Om deze waardes automatisch te kunnen berekenen voor een willekeurig brugprofiel vervangen we Q door de afvoerformule van een landhoofdbrug:

SOBEK Utilities is in staat om voor een brug met gegeven spanwijdte, hoogte en dikte brugdek de weerstandscoëfficiënt te berekenen. Het formulier zit onder het menu Structures – Build – Bridges as extra resistance nodes.

Op het formulier wat verschijnt kan de gebruiker een shapefile met bruglocaties inladen. Let op: deze shapefile moet ook de relevante attribuutdata per brug bevatten:
- ID van de brug
- Hoogte brugdek (m + NAP)
- Lengte van de brug (m)
- Maximale breedte overspanning (m)

Daarnaast moet de gebruiker enkele constanten opgeven:
- Dikte brugdek (m)
- Chèzy-ruwheid van de brug
- Chèzy-ruwheid van de beek
- Hoogte van de reling (m)
- Doorstroombaarheid van de reling (%)
- Intreeverliescoëfficiënt (-)
- Uittreeverliescoëfficiënt (-)
Wanneer de gebruiker op <Execute> drukt, zal SOBEK Utilities voor iedere locatie in de shapefile de waarde voor ksi als functie van de waterhoogte uitrekenen en wegschrijven naar het bestand friction.dat.
Om dit te kunnen doen gebeurt onder de motorkap veel. Onder andere:
- Berekenen natte omtrek van het beekprofiel zoals dat in SOBEK zit
- Berekenen natte doorsnede van het beekprofiel zoals dat in SOBEK zit
- Berekenen natte omtrek van het brugprofiel
- Berekenen natte doorsnede van het brugprofiel
Onderstaand tonen we de uitkomsten van zo’n analyse. De paarse lijn toont de natte doorsnede van het beekprofiel als functie van de waterhoogte. De rode lijn toont die van het brugprofiel. Vanaf het moment waar het brugprofiel kleiner wordt dan het beekprofiel, wordt een waarde voor ksi berekend (blauwe lijn). Merk ook op dat de natte omtrek van het brugprofiel (groene lijn) sterk toeneemt zodra het brugdek wordt geraakt. Hij blijft dan even constant totdat het dek begint te overstromen.

Het enige wat SOBEK Utilities hier wegschrijft is het bestand friction.dat. Het is aan de gebruiker zelf om de shapefile met bruglocaties in SOBEK te importeren als type ‘Extra Resistance Node’ en friction.dat achter de schermen in de schematisatie te kopiëren.